受深盆地大地形尤其是青藏高原的影响,加之春夏季沙漠下垫面强的地表加热及旺盛的对流运动和湍流运动,塔里木盆地春夏季大气环流具有独特的区域特征,热低压活动频繁,局地性沙尘暴频发。塔里木盆地在春夏形成“超高”的大气边界层结构,致使在垂直方向长期存在“滞空”的浮尘残留层,其辐射强迫可加热与青藏高原接近高度的盆地大气,诱导青藏高原春夏季热源范围向塔里木盆地上空“北扩”。青藏高原春夏季大气热源向塔里木盆地“北扩”变化特征是深入研究该区域气候变化的新问题。
中国气象局乌鲁木齐沙漠气象研究所沙漠边界层气象研究团队利用探空观测资料,从原位观测的角度证实塔里木盆地上空异常暖层的存在,并量化了“滞空”沙尘辐射效应对盆地上空异常暖层的贡献。
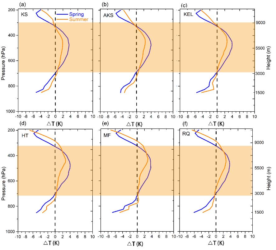
结果表明:春夏季,塔里木盆地上空300-500 hPa异常暖层的平均加热强度分别为2.53和1.39 K,且具有明显的时空分布特征,从强度来看,春季高于夏季,但夏季加热层的厚度要高于春季。塔里木盆地上空长期存在着“滞空”沙尘层,沙尘层顶高度介于3.0-5.5km,由于其辐射效应,“滞空”沙尘层可明显加热盆地上空的大气,且加热层几乎覆盖整个盆地。“滞空”沙尘层对盆地上空异常暖层的加热贡献分别为13.77%和10.25%。青藏高原在春夏季是热源,盆地上空的加热层就像是高原热源的向北延伸,所以本研究提出了青藏高原热源“北扩”的概念。
相关成果以“In-situ observation of warm atmospheric layer and the heat contribution of suspended dust over the Tarim Basin”为题发表在Atmospheric Chemistry and Physics,论文第一作者为沙漠所周成龙副研究员,通讯作者为兰州大学大气科学学院刘玉芝教授。该研究得到国家自然科学基金重点基金(42030612),中国科学院战略重点研究计划(XDA2006010301)等项目的共同资助。
原文信息:Zhou, C., Liu, Y., Zhu, Q., He, Q., Zhao, T., Yang, F., Huo, W., Yang, X., & Mamtimin, A. (2022). In situ observation of warm atmospheric layer and the heat contribution of suspended dust over the Tarim Basin. Atmospheric Chemistry and Physics, 22(8), 5195-5207.
文章链接:https://doi.org/10.5194/acp-22-5195-2022

图1. 2016 - 2017年塔里木盆地探空站温度差值的垂直廓线,阴影部分为异常暖层
0991-2652429
desert@idm.cn
新疆维吾尔自治区乌鲁木齐市建国路327号